by Bernard K. Means

Cartoon from a New Deal for Texas Parks online exhibit at http://www.tpwd.state.tx.us/spdest/findadest/historic_sites/ccc/new_deal_texas_html/1.phtmlAs I work on an article on the spatial distribution of New Deal work relief archaeology, I decided to see whether there was a clear correlation between federally funded relief archaeology and overall New Deal expenditures.  As I still do not have a handle on all the work relief archaeology conducted in the U.S., something challenging to figure out in one’s spare time, this is not a rigorous study.  But, still, I think informative.

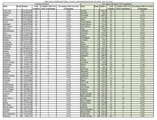
My economic information comes from an article by Don C. Reading entitle “New Deal Activity and the States, 1933 to 1939” published in The Journal of Economic History 33 (4):792-810.  Table 1 in the article presents “New Deal expenditures, loans, and insurance by states, 1933 to 1939” in terms of absolute and per capita allocations.  I added three columns to the table: total counties per state; counties with New Deal archaeology; and percentage of counties with New Deal archaeology. Using counties per state is far from ideal, but the coarseness of the data precludes determining the absolute number of sites surveyed or excavated in a given county–or even in a given state. And, by New Deal archaeology, I focus on survey and excavation projects, not purely reconstruction projects largely done by the Civilian Conservation Corps (CCC) in state and national parks.

new deal expenditures tableAs you can see in the table, the top ten states in terms of total allocation of New  Deal funds saw little archaeology, with the exceptions of New Jersey, Pennsylvania and Texas. These three states had strong state archaeologists or local residents who actively sought out New Deal funding.  New Jersey had Dorothy Cross and Pennsylvania had Donald Cadzow as activist state archaeologists. At least some of the archaeology done in Texas during the New Deal was because of the strong interest from a gentleman by the name of Fred Studer, a passionate local avocational archaeologist (Chris Lintz, Cultural Resource Specialist, Wildlife Division, Texas Parks and Wildlife Department, personal communication,  August 13, 2010). Tennessee, Alabama, and Kentucky all saw a fair amount of archaeology under the Tennessee Valley Authority, but these are ranked 15th, 18th, and 26th respectively in terms of absolute allocation of funds.  If we look at per capita allocation, only one state in the top ten shows no known New Deal archaeology.  Here, the bottom ten is more interesting–four of the states with no known New Deal archaeology fall into this range.  However, Kentucky and Pennsylvania, both of which saw a fair amount of New Deal archaeology, are also in this bottom ten range.

Overall, in this cursory analysis, there does not appear to be a correlation between the amount of money spent in a given state and there is a weak correlation in per capita spending. A future direction for this research will be to determine the total expenditures on archaeology for each state, ideally on the county level.